彩票平台推荐
2023年5月西湖镇城市一、二级困难残疾人生活补贴发放花名册-铜官区人民政府
彩票平台推荐
铜官区西湖镇
长者版
|
无障碍
您现在所在的位置:
网站首页
>
政府信息公开首页
>
西湖镇
>
财政专项资金
>
贫困重度残疾人生活救助
>
分配结果
索引号:
19340705MB0T82751Q/202305-00088
组配分类:
分配结果
发布机构:
铜官区西湖镇
主题分类:
民政、扶贫、救灾 / 残疾人
名称:
2023年5月西湖镇城市一、二级困难残疾人生活补贴发放花名册
文号:
无
发布日期:
2023-05-22
有效性:
有效
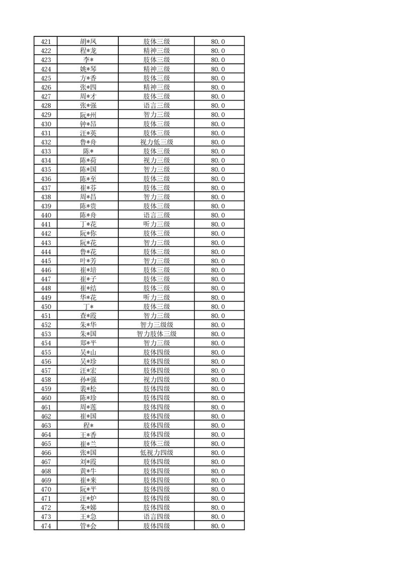
2023年5月西湖镇城市一、二级困难残疾人生活补贴发放花名册
发布时间:2023-05-22 15:19
来源:西湖镇
浏览次数:
字体:[
大
中
小
]
文本下载
用微信扫描二维码
分享至好友和朋友圈
×
十大博彩公司官方网站-网上十大博彩公司网站
网络十大博彩app下载-世界十大博彩app下载
靠谱买球app推荐-足球买球app推荐
赌钱娱乐-线上赌钱-线上赌钱平台
网上买球线上平台 - 首页
干扰字符镜像
网站复制工具
英文互译镜像站
镜像精灵
网站克隆
干扰字符镜像
网站镜像克隆
英文互译镜像站
蚪侠镜像站群
>网站地图-sitemap